神经网络模型及R代码实现
一.神经网络基本原理
-
神经元模型

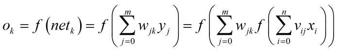
图中x1~xn是从其他神经元传来的输入信号,wij表示表示从神经元j到神经元i的连接权值,θ表示一个阈值 ( threshold ),或称为偏置( bias )。则神经元i的输出与输入的关系表示为:


图中 yi表示神经元i的输出,函数f称为激活函数 ( Activation Function )或转移函数 ( Transfer Function ) ,net称为净激活(net activation)。若将阈值看成是神经元i的一个输入x0的权重wi0,则上面的式子可以简化为:


若用X表示输入向量,用W表示权重向量,即:
X = [ x0 , x1 , x2 , ....... , xn ]
则神经元的输出可以表示为向量相乘的形式:


若神经元的净激活net为正,称该神经元处于激活状态或兴奋状态(fire),若净激活net为负,则称神经元处于抑制状态。
图1中的这种“阈值加权和”的神经元模型称为M-P模型 ( McCulloch-Pitts Model ),也称为神经网络的一个处理单元( PE, Processing Element )。
-
激活函数
激活函数的选择是构建神经网络过程中的重要环节,下面简要介绍常用的激活函数。
(1) 线性函数 ( Liner Function )

(2) 斜面函数 ( Ramp Function )

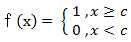
(3) 阈值函数 ( Threshold Function )

以上3个激活函数都属于线性函数,下面介绍两个常用的非线性激活函数。

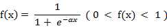
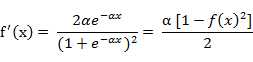
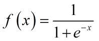
(4) S形函数 ( Sigmoid Function )

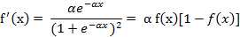
该函数的导函数:

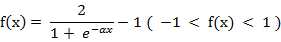
(5) 双极S形函数

该函数的导函数:


双极S形函数与S形函数主要区别在于函数的值域,双极S形函数值域是(-1,1),而S形函数值域是(0,1)。
由于S形函数与双极S形函数都是可导的(导函数是连续函数),因此适合用在BP神经网络中。(BP算法要求激活函数可导)
-
多层感知器模型
-
BP神经网络
BP网络的学习过程由信号的正向传播和反向传播两个过程组成:
- 正向传播时信号从输入层计算各层加权和经由各隐层最终传递到输出层,得到输出结果
- 输出结果与期望结果(监督信号)比较得到输出误差,误差反传是依照梯度下降算法将误差沿着隐藏层到输入层逐层反传,将误差分摊给各层的所有单元,从而得到各个单元的误差信号(学习信号),据此修改各单元权值

-
研究步骤
- 确定激活函数,BP网络的激活函数必须可微,一般采用Sigmoid函数或线性函数作为激活函数。这里隐层和输出层我们均采用Sigmoid函数

- 计算输出
- 确定激活函数,BP网络的激活函数必须可微,一般采用Sigmoid函数或线性函数作为激活函数。这里隐层和输出层我们均采用Sigmoid函数
对于隐层:
对于输出层:

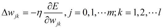
3.权值调整
这里我们用代价函数E来描述网络误差,使用随机梯度下降(SGD,StochasticGradient Descent)策略, 以代价函数的负梯度方向对参数进行调整。每次只针对一个训练样例更新权值。这种算法被称作误差逆传播(error Back Propagation)算法,简称标准BP算法
代价函数E:

根据梯度下降策略,误差沿梯度方向下降最快,故应使权值的调整量与误差的梯度下降成正比,即:
- 对于输出

- 对于隐层

其中
表示学习率,用来限制训练速度的快慢
-
BP算法推导

-
BP学习算法流程图

-
局限性
- 多极小值点容易使训练陷入局部最小
- 在函数变化平缓的区域收敛速度会很慢,使得训练次数大大增加
-
改进算法
- 增加动量项:由于在梯度下降过程中,随着梯度越来越小,权值更新越来越慢,此时可能出现因为梯度极速下降而造成的震荡,也可能出现因为梯度下降过缓而造成收敛过慢
*引入上一次的权值调整作为调整项,使权值调整具有一定的惯性,含有动量项的权值调整表达式为

称为动量因子。即此次权值的调整如果和上次方向相同会加速收敛,如果方向相反会减缓震荡。因此可以很好的提高训练速度
*学习率在一定程度上限定了权值调整的快慢, 学习率调整也是先用大的学习率到震荡区域,这个区域包含极小值,然后再用小的学习率逼近极小值。学习率的增减通过乘以一个因子来实现
-
R代码实现(nnet包的单隐层BP网络)
- 加载数据和数据清洗
清理环境变量,加载Soanr,Mines vs. Rocks 数据
rm(list=ls())
library(mlbench)
data(Sonar)
重新定义因子级别为0,1,其中岩石是级别1,金属是级别0
levels(Sonar$Class)<-c(0,1)
随机抽样,建立训练集和测试集,抽样比例是7:3
set.seed(1221) select<-sample(1:nrow(Sonar),nrow(Sonar)*0.7) train<-Sonar[select,] test<-Sonar[-select,]
对数据进行中心标准化
train[,1:60]=scale(train[,1:60]) test[,1:60]=scale(test[,1:60])
使用nnet包实现BP神经网络
library(nnet) mynnet<-nnet(Class~., linout =F,size=14, decay=0.0076, maxit=200, data = train)
结果评估
使用测试集预测
out<-predict(mynnet, test) out[out<0.5]=0 out[out>=0.5]=1
计算准确率
rate<-sum(out==test$Class)/length(test$Class)
分别在训练集和测试集上预测,并且绘制ROC曲线
- 这里我们构建绘制ROC曲线函数方便日后调用
ROC<-function(model,train,test,objcolname,ifplot=TRUE){ library(ROCR,quietly = T) train$p<-predict(model, train) test$p<-predict(model, test) predTr <- prediction(train$p, train[,objcolname]) perfTr <- performance(predTr,"tpr","fpr") predTe <- prediction(test$p, test[,objcolname]) perfTe <- performance(predTe,"tpr","fpr") tr_auc<-round(as.numeric(performance(predTr,‘auc‘)@y.values),3) te_auc<-round(as.numeric(performance(predTe,‘auc‘)@y.values),3) if(ifplot==T){ plot(perfTr,col=‘green‘,main="ROC of Models") plot(perfTe, col=‘black‘,lty=2,add=TRUE); abline(0,1,lty=2,col=‘red‘) tr_str<-paste("Tran-AUC:",tr_auc,sep="") legend(0.3,0.45,c(tr_str),2:8) te_str<-paste("Test-AUC:",te_auc,sep="") legend(0.3,0.25,c(te_str),2:8) } auc<-data.frame(tr_auc,te_auc) return(auc) }
- 绘制ROC 曲线
ROC(model=mynnet,train=train,test=test,objcolname="Class",ifplot=T)
- 调参
构建调参函数network()
network<-function(formula,data,size,adjust,decay=0,maxit=200,scale=TRUE, samplerate=0.7,seed=1,linout=FALSE,ifplot=TRUE){ library(nnet) ##规范输出变量为0,1 yvar<-colnames(data)==(all.vars(formula)[1]) levels(data[,yvar])<-c(0,1) ##抽样建立训练集和测试集 set.seed(seed) select<-sample(1:nrow(data),nrow(data)*samplerate) train=data[select,] test=data[-select,] ##根据给定判断进行标准化 if(scale==T){ xvar<-colnames(data)!=(all.vars(formula)[1]) train[,xvar]=scale(train[,xvar]) test[,xvar]=scale(test[,xvar]) } ##循环使用nnet训练调参 obj<-eval(parse(text = adjust)) auc<-data.frame() for(i in obj){ if(adjust=="size"){ mynnet<-nnet(formula,size=i,linout=linout,decay=decay, maxit=maxit,trace=FALSE,data=train) } else if(adjust=="decay"){ mynnet<-nnet(formula,size=size,linout=linout,decay=i, maxit=maxit,trace=FALSE,data=train) } ##调用之前的ROC()得到对应参数的AUC值 objcolname<-all.vars(formula)[1] auc0<-ROC(model=mynnet,train=train,test=test, objcolname=objcolname,ifplot=F) ##输出指定参数不同值对应的数据框 out<-data.frame(i,auc0) auc<-rbind(auc,out) } names(auc)<-c(adjust,"Train_auc","Test_auc") if(ifplot==T){ library(plotrix) twoord.plot(auc[,1],auc$Train_auc,auc[,1],auc$Test_auc,lcol=4, rcol=2,xlab=adjust,ylab="Train_auc", rylab="Test_auc",type=c("l","b"),lab=c(15,5,10)) } return(auc) }
开始调参
auc<-network(Class~.,data=Sonar,size=1:16,adjust="size", decay=0.0001,maxit=200,scale=T) auc<-network(Class~.,data=Sonar,size=14,adjust="decay", decay=c(0,seq(0.0001,0.01,0.0003)),maxit=200)