信用评级模型实例分析(以消费金融为例)-中

信用评级模型实例分析(以消费金融为例)-中

技术分享点击“亚联大数据”可关注我们!

 

技术分享

 

第五章 自变量的初步分析与处理

 

模型变量有两种类型,分别是连续型变量 。连续型变数系指该变数为观察数据所得的实际数值,并没有经过群组处理 。间断型变数则系指质性变量或类别型变量 。

两种变数类型都适用于评分模型,但建议变量使用间断型态进行开发评分模型,主要原因如下:

1. 间断型变量有助于处理极端值或是样本数量较少的变量。

2. 非线性的因变量 (dependencies) 可应用于线性模型(linear model)。

3. 间断型变量可协助模型开发人员了解各变量与目标事件的趋势关系。

4. 开发单位可预先知悉发生目标事件的开发样本,其概略的行为特质。    

 

1细致分类 (Fine Classing) 

 

  • 长变量列表完成后,会接续进行细致分类 (Fine Classing),将连续型变量概略区分成几个区间,以利进行单变量分析;

  • 细致分类一般做法会将变数依样本比例均分 (equal population) 的方式区分为10至20个区间;

  • 观察变量与目标事件的对应趋势 (logical trend) 和实际业务经验是否相符,如果趋势与认知不相符,即表示该变量不适合用于开发模型,尔后,再配合单变量分析结果进行变量筛选。

 

范例 

范例一:近1个月的额度使用率

技术分享

技术分享

根据一般信用卡业务经验,当客户的额度使用率愈大,未来发生违约的机率愈高,对照近1个月额度使用率分群与违约率的趋势图可以发现。

                   

范例二:与银行往来期间

技术分享

技术分享

 一般信用卡业务经验告诉我们,客户与银行往来期间愈久,未来发生违约的机率会愈低,对照与银行往来期间分群与违约率的趋势图发现,开发样本的「与银行往来期间」,与违约率之间没有任何显著的趋势,与业务经验也不一致,表示「与银行往来期间」并不适合用于开发信用评等模型。 

 

2单变量分析 (Single Factor Analysis) 

 

  • 长变量列表上列举各式各样的变量,开发单位待变量进行细致分群,比较业务经验与趋势,淘汰不一致的变量后,后续针对变量进行单变量分析;

  • 利用分析数据观察变量在不同期间的稳定程度,及对目标事件的预测能力大小;

  • 最常使用的指标为母体稳定度指标 (Population Stability Index;PSI) 与讯息价值 (Value of Information;VOI)。

 

3母体稳定度指标(Population Stability Index;PSI) 

 

母体稳定度指标主要目的是了解不同时间点的样本形貌是否有所改变,可用来评估整体模型的评分概况,或个别变量的变动情况公式:

技术分享

一般而言,当PSI小于0.1即表示不同时点下,变量的分群样本百分比并无显着的变动,稳定度甚佳,可用来开发模型; 

技术分享

透过表5-3可以得知,近1个月额度使用率随着时间有逐渐减少的趋势,但是PSI仅0.0327,变动幅度并不大,可供开发单位之后建构评分模型。

 

4讯息价值 (Value of Information;VOI) 

 

讯息价值可以协助模型开发人员了解,各变量对于目标事件的单一预测能力高低,藉以挑选出高预测能力的变量进行开发。公式:

技术分享

讯息价值的判断标准 :

技术分享

技术分享

20个分群的讯息价值加总发现,「近1个月的额度使用率」的VOI为2.09,表示该变量对样本未来12个月是否发生违约具有强烈的预测能力,模型开发人员可用来开发模型。

 

5相关系数 (Correlation Coefficient)  

 

当评分模型变量间的相关性过高,会产生共线性 (collinearity) 的问题,导致使模型的预测能力下降,甚至出现与预测结果相反无法解释的现象。为避免变量间的高度相关削弱模型预测能力,开发人员会计算各变量间的相关系数:

技术分享

相关系数与相关程度 :

技术分享

一般相关系数高低与对应的相关程度标准整理于表5-6,对于开发评分模型而言,如果相关系数超过0.7,表示变量间的相关程度太高,必须进行筛选以免降低模型的预测能力。

 

6变数筛选 (Variables Selection)   

 

  • 长变量列表 (Long List) 搜集了所有模型开发前,数据库中所能产出的变量,数量繁多且并非每一个变量都可用于开发模型。

  • 藉由每一个变数的PSI、VOI与相关系数,综合考虑稳定性、预测能力、变量间相关程度以及业务认知后,进行变量的筛选。

  • 一般而言,当变数的PSI 小于 0.1且VOI 大于0.1,即表示该变量在不同的期间下具有相当的稳定度,对目标事件亦有显著的预测能力,因此会先保留该变量至短变量列表 (Short List)。

  • 当保留变数间的相关系数大于0.7时,就会根据业务经验挑选较为适合预测目标事件的变量进行后续的开发步骤。

 

7粗略分类 (Coarse Classing)    

 

粗略分类有下列几项原则:

1、变量上升或下降的趋势需与实务经验一致

2、单一变数应维持至多8个区间

3、各分群好坏对比值 (G/B Index) 至少需差距15以上

4、各分群需涵盖2%以上模型开发样本

5、各分群需至少有30笔发生目标事件的开发样本或是占该群样本的1%

6、将空白、缺值或其他特殊变量值合并至同一区间,概称为空集 (Null Group)

7、一般Null Group分群好坏比需较整体为低 (好坏对比值接近100B或以上)。

 

范例利用「近1个月额度使用率」的细致分类表,进一步说明如何进行变量的粗略分类步骤: 

 步骤一:

因为近1个月的额度使用率小于等于4.78%的11个分群,其违约率均小于0.30%,好坏比大于400且好坏对比值大于400G,所以会将这11个分群合并为单一分群。 

技术分享

步骤二:

近1个月额度使用率大于4.78%,小于等于10.21%的三个分群,因为违约率介于0.30%至0.38%,好坏比与好坏对比值较为相近,所以将此三个分群合并为一新的分群。

技术分享

步骤三:

近1个月额度使用率大于10.21%,小于等于20.51%的两个分群,因为违约率、好坏比与好坏对比值与前后的分群都有显著的差距,因此将这两个分群合并为新分群。

技术分享

步骤四:

将近1个月额度使用率的粗略分类结果并逐一检视前述各项原则:

1、变数上升或下降的趋势需与实务认知一致

2、单一变数应维持至多8个区间

3、各分群好坏对比值至少需差距15以上

4、各分群需涵盖2%以上模型开发样本

5、各分群需至少有30笔发生目标事件的开发样本或是占该群样本的1%

技术分享

 

第六章 模型建置方法

 

范例利用「近1个月额度使用率」的细致分类表,进一步说明如何进行变量的粗略分类步骤: 

  • 建立模型可运用的方法非常多,如区别分析 (Discriminant Analysis)、线性回归 (Linear regression)、罗吉斯回归 (logistic regression) 及分类树(Classification Trees) 等统计方法;或是类神经网络 (Neural Networks)、基因算法 (Genetic Algorithms) 及专家系统 (Expert Systems) 等非统计方法。

  • 在实务运用上,选择线性回归或罗吉斯回归来建构评分模式,在模式实行上成本较低也较快速,是模型研发人员最常选用之方式。

 

1线性回归 (Linear Regression)  

 

线性回归是研究单一应变量与一个或以上自变量之间的关系。线性回归适用于连续属性之模型配对,当只有一个自变数时,其回归模型为:

技术分享

一般线性回归需满足以下基本假设:

1、自变量与应变量之间呈现线性关系

2、残差项之期望值为0

3、残差项之变异数为一常数

4、观测值互相独立

5、残差项需服从常态分配

 

  1. (一)变量选择

选取自变量时,最常使用的方式都是逐步回归 (stepwise multiple regression) ,系分为三种选择法:

  • 顺向选择法 (Forward selection) 

先从所有变量中,选择对模型贡献最大者进入回归方程式;然后再逐一选择第二个、第三个…预测力较高的变数进入模型中而进入的标准为是否具有最小F机率值,通常设值为0.50,若自变数的F值小于此者,将被选取进入。

  • 反向淘汰法 (Backward elimination)

此方法与顺向选择法相反,一开始选入所有的变量,然后逐一删去对模式的贡献最小者,然后再选其他变量进入模型中,而剔除的标准为是否具有最大F机率值,通常设值为0.10,若自变数的F值大于此者,将被选取剔除。

  • 逐步分析法 (Stepwise analysis)

这是上述两项技术的综合。首先在模式中不包含任何预测变项,然后采顺向选择法,将对模式贡献最大的自变数挑选进入回归模式中。而在每一步骤中,已被纳入模式的自变量则必须再经过反向淘汰法的考验,以决定该变项要被淘汰或留下。逐步回归法F机率值的进入标准通常为0.15,剔除标准亦为0.15。

 

(二)模型绩效 

在运用线性回归分析做推论时,最常用到T检定、F检定及R2等来检定所产生的重要统计量是否具有统计上之显著水平,判断此回归式是否具有意义:

  • t检定 (t-test) :

检定回归系数是否具有统计上的显著意义,t检定统计量是用来检定每一个系数是否为0,若经由检定发现某个系数并不显著,也就是与0无显著差异,则需视察是否有资料本身的问题 (如样本数不足),或是非线性关等,若此变量对模型绩效无贡献即可考虑将该变数剔除。

  • F检定 :

回归分析中,F值是用来检定自变量集合与应变量之间是否具有显著关系,在此以F统计量来检定整个回归式是否具有意义,亦即检定回归式之所有系数是否均为0,若均为0,则所估计之回归式无法妥适描述应变量之行为,有再予修正之必要。

  • 复相关系数R2及Adjusted R2:

复相关系数乃用以说明所估计出来之回归式能够解释实际状况的程度,通常以判定系数R2判断应变量与整体自变数的关系是否密切,亦即回归模式的解释能力是否充足。

 

2罗吉斯回归 (Logistic Regression)   

 

(一)模型设定

罗吉斯回归模型的应变量为二择一之属质变量,其出现的变量值只有好与坏 (包括违约/非违约事件、失败/成功等情况) 的二择一可能事件。此方法具有易懂、非黑箱作业、能与机率结合等优点,故为开发评分卡最常使用之方法。假设应变量为Y,Y值为0或1,自变数为X=(X1,X2,…,Xk)。

技术分享

技术分享

 

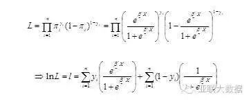
(二)参数估计 

罗吉斯回归模型的参数估计是利用最大概似法估计。每个观察值皆为0或1的数值,因此技术分享 (此为白努利分配,n为样本数),其概似函数表示如下:

技术分享

 

(三)自变量之处理

一般常见方法为采用每一变量分组后之WOE值,或每一变数分组之虚拟变数 (dummy ariable)。

1)WOE值 :

使用前阶段中每一个变量分组后之WOE值,来取代原本的变量值做为回归模型训练的投入,除可避免变数值中极端值 (Outliers) 的情形,亦可减少模型过度配适 (Overfitting) 的现象。

技术分享

WOE的计算方式如下:

技术分享

其中,

i:特征变量分箱的组别

Distr Good:各分组中好件占全体好件的比例。

Distr Bad:各分组中坏件占全体坏件的比例。

2)虚拟变数 (dummy variable):

利用每一个变量分组设置虚拟变量 (dummy variable)在罗吉斯回归来说,离散或名目尺度的变数,例如性别、学历、婚姻状态等并不适宜,以区间尺度为例,每个数字代表不同层级,此时的数字不代表任何显著意义,在这种情况下,就可使用虚拟变量的方法。

技术分享

以「教育程度」为例,此解释变量分为5个群组,含小学、国中、高中职、大专及研究所以上,则其虚拟变量设计左。

一般来说,如果名目尺度的变量被分为n个群组,则需要n-1个不同形式的虚拟变量被设计,其中设定为基准的分组,也就是数值全为0的判定,通常会采用Bad%最接近全体者之分组。

 

(四)模型绩效

利用算法所得之参数估计值,需检定参数是否具有其显著的效果存在。

在大样本的条件下,检定技术分享,在的显著水平下,当Wald统计量值大于,则表示该系数显著不为零。 

在模型适合度检定部分,整个模型建立后对模型适合度的检定,即检定技术分享其检定统计量为-2Log (L),是以概似函数为基础 。当-2Log (L)大于技术分享,则表示该模型配适不当。

 

3两阶段式建置方法

 

  • 一般在建置评分卡时,罗吉斯回归之应变数永远为0或1,而无法使用连续型变量,因此可考虑利用线性回归,将前阶段罗吉斯回归分析产生之残差值做为第二阶段之应变量。

  • 采取二阶段回归,可选择将预测力较强的变量纳入后阶段线性回归模型,如此一来,评分模型较不易受预测力高的变量所独断而造成影响及偏颇。例如:在建置信用卡评分卡时,为避免模型过分仰赖联征变量,可于第一阶段罗吉斯回归仅纳入行内变量进行分析,联征变量则于第二阶段加入。

执行两阶段式回归建置步骤如下:

1. 模型建立:为使模型有较佳的精确性及稳定性,通常会将模型样本区分为「训练-测试」两组数据集(Development & Hold-Out Sample),分别占整体样本之「70%至30%」,利用70%之训练样本执行逐步回归。

2. 第一阶段回归-罗吉斯回归模型:若有变量其区间给分与其对应之好坏对比值 (GB Index) 出现矛盾,或与实务认知相斥,则需重新设计该变量区间或选择排除该变量,再重新执行回归动作。

3. 相关分析:检查选入变量之相关性,将所有变量进行相关系数分析,相关系数高于0.85之变数取VOI高者,以避免模型存在共线性的问题。

4. 重复执行2至3之动作以找寻最佳模型。

5. 第二阶段回归:步骤4可得到第一阶段罗吉斯回归计算后的残差值,以此做为第二阶段线性回归的应变量。相似的回归分析过程亦于第二阶段执行,重复执行2至5步骤以确保所挑选变量组合符合统计与实务经验,最后产出最终评分模型。

6. 模型检验:利用30%的测试 (hold-out) 样本与时间外 (out-of-time) 样本分别进行效度检验,以确保模型之精确及稳定性,若无法达到指定标准,则重复步骤1至5。通常是以Gini值与K-S值来做为指定标准,一般而言,Gini值达40%、K-S值达30%,表示模型对好坏案件鉴别力强 

7. 将最终评分模型所得之变量系数乘以1,000即可得评分卡分数。

 

(一)初始模型讨论 

针对评分卡建置流程,PA meeting (Preliminary Analysis Meeting) 主要针对前阶段各流程作细部介绍,并着重初始模型纳入变量之讨论,此部分需仰赖各单位专业人员之实务经验与模型作结合,故该评分卡产品之上游至下游相关单位皆应派员参与讨论,如业务单位、营销单位、征审单位及政策单位等。

PA meeting的议程重点如下:

1、 简述评分卡目的与流程架构

2、样本区间说明

3、资料简介

4、评分卡之好坏定义介绍

5、评分卡开发过程简介

6、评分卡变数各区间切点及权重讨论

7、评分卡修正

后续由开发模型人员根据会中提出之问题与建议执行模型修正分析,例如变量更换与区间重新设计等,再于会后提出最终模型评分成果。

 

(二)范例 

针对样本进行模型建置,其步骤如下 :

步骤一:变数转换

将变数转换为虚拟变数,以确保数据及模型之稳定性。

技术分享

步骤二:罗吉斯回归

利用虚拟变量套入罗吉斯回归模型之自变量中,即可得到第一阶段之模型。

技术分享

步骤三:线性回归

利用前阶段罗吉斯回归之残差为应变量,联征变量为自变量,进行线性回归分析 

技术分享

步骤四:罗吉斯回归及线性回归模型合并

技术分享

在反复的变量群组重置及纳入实务经验后,即可产生初始模型。接下来,应由模型人员及使用人员针对初始模型进行讨论会议。

 

第七章   婉拒推论 (Reject Inference) 

 

申请评分卡是利用通过审核者的历史数据来建立模型,此模型会忽略原先被婉拒客户的影响力,使得模型略显乐观,故需透过婉拒推论来对模型进行修正,以使模型更加地精确及稳定。

技术分享

 

1婉拒推论原因

 

进行婉拒推论的原因,最主要是为了防止申请样本的可能偏误,进而还原申请当时母体之真实分配情形,至于其他进行婉拒推论的原因尚有:

1、增加建模样本数量:此说法类似防止样本偏误的原因。一般而言,建模样本只考虑核准件,占全体样本的比例太小,进行婉拒推论可增加建模样本占全体样本的比例,所建置之模型也更具代表性。

2、公司内部政策的变动可能导致过去的申请者已不能代表未来的申请者;同样地,过去婉拒不代表未来还会被婉拒,因此若仅以核准件建置模型可能会造成误判。

3、从做决策的观点来看,婉拒推论可以对所有申请客户做出更正确而真实的推测。举例来说,某家银行传统上核准评分卡分数大于或等于500分以上的客户,但现行政策觉得过于保守,想要改为核准450分以上之客户,如果此银行从未核准过500分以下的客户,就无法得知此举会增加多少风险?而婉拒推论则允许估计没有核准过案件之坏帐率,并能帮助做出决策。

4、利用婉拒推论还可能找出过去被拒绝的好客户,发掘这些客户,进而改善内部流程,并找出可增加之利益。

 

婉拒推论适合使用的时机:

1、高核准率、且对判断的信心很强时,不适用:此时因核准率过高,且对决策有高度的信心,故可以假设被婉拒的人均为坏人。

2、高核准率、不管坏帐率如何,不适用:高坏帐率,因为高核准率的母体已经接近所有申请件,代表此时母群体大多无坏帐,不管有没有做婉拒推论影响并不大。低坏帐率,同理如上,此时可作「被婉拒的都是坏人」的推论。

3、中低核准率适用:配合适当的风险策略,婉拒推论可以协助找到更适合的客户。

 

加入婉拒推论后,申请模型的建置流程图:

技术分享

 

2婉拒推论方法

 

一、所有的婉拒件皆为坏件

此方法较不恰当,因为在婉拒数据中某部分可能是好客户,可能因此而降低模型的精确性。当然,如果在很高的核准率下,例如95%以上,且征审有很高之判断能力,则在可靠程度下,可以假设所有婉拒件皆为坏件。

二、指派婉拒客户依现行和核准件好坏比做推论

此法是假设现行判断系统是非常公正没有偏误的。但假设这样的比例并无任何帮助,需要佐以相关之计算与模拟才能相得益彰。

三、忽略所有婉拒的客户

此方法是假装没有这些婉拒客户之存在,顺便也把低于切分点的客户一律婉拒,其步骤为:

1. 利用所有核准件建立一评分模型。

2. 再次评分,将低于切分点的人全部视为婉拒件。

但此方法只是事后评论现行系统,对现行系统或征审流程毫无信心,一般并不常使用此方法。

四、核准所有的申请件

此方法是找出拒绝客户其真正的表现,此会与某段特定时间核准客户有关连,此可得知样本真正核准的客户表现,此方法是最实际且科学的方法,不会有太保守或高估的坏帐率。

五、以内部或行外数据为基础之方法

(一)两张评分卡交互运用

此方法是针对在某一产品被拒绝,但在另一类似产品却被核准的客户,利用内部数据来分析其行为表现。

(二)利用行外数据

本行所婉拒的客户但其他公司却核准之客户,可利用其在他行的外部数据来追踪该客户之行为表现。此方法近似真正的表现,但其缺点如下:

1、只能改善某一张卡的表现,但实际坏帐仍发生对于行内的资产质量并无改善。

2、在管理方面的障碍是无法取得被婉拒客户的信用评等纪录,除了权限或时间上的限制外,还有个资法因素,让银行不一定能搜集或买到该客户的相关资料。

假设需要将数据拿来做行内的交叉利用,需要注意以下几点:

1、 需在相同的时间起迄点,以避免因时间的不同而造成季节偏误。

2、好坏的定义要接近。

3、样本数不会太多:因为坏客户申请同一家行库的产品,可能在第二张评分卡时被婉拒。

六、分配法 (Parceling)

此法系依每一个区间的好坏比例重新分配好坏件,并将拒绝件分配到每一个分数级距中,其包含以下步骤:

1、使用已知的好/坏件样本,建置初步评分卡模型。

2、使用第一阶段模型来评分所有的婉拒件,并且估计它们的预期违约机率。

3、将已知的好/坏件样本依评分分数高低进行分组,计算各分组内的实际违约率。

4、同样地,将婉拒件依前步骤之分数进行分组。以各分组的实际违约率做为抽样比例,随机抽取该分组下的婉拒件,并指定其为坏件,其余则为好件。

5、将这些已推论为好/坏件的婉拒件样本新增到原有的核准件样本中,并且重新建置评分卡模型。

技术分享

核准及婉拒件于评分卡分数的分配,其中婉拒件是利用核准件之评分卡来判断其分数分配,至于婉拒件之好坏分配,则是利用核准件之Bad%及Good%去分配,例如在753至850此区间中有605件婉拒,其在核准件的Bad%=10.6%,因此会有64件婉拒件被分配至坏件 (605×10.6%=64),而好件则为541件 (605×89.4%=541)。 

七、硬性截断法(Hard Cutoff)

又称单纯扩张法(Simple Augmentation),其方法类似Parceling法,但是Hard Cutoff是将所有婉拒件依给定分数分配到坏件或好件,而Parceling法则是在不同分数区间内,依不同比例,分配婉拒件到每一个分数级距里。Hard Cutoff法步骤如下:

1、使用已知的好/坏件样本建置评分卡模型。

2、使用评分模型来评分所有婉拒件,并建立预期坏帐率P (bad)。

3、设定一个坏帐水平区分好坏件,在此坏帐水平以上视为坏件,以下视为好件。

4、将推论婉拒件之好坏重新置于模型中并建置评分卡模型。

技术分享

仿真申请时核准婉拒比例来对样本之拒绝件做适度的加权。以左图为例,申请母体的核准件与婉拒件分配的比例为70%与30%,建模样本核准件与婉拒件分配的比例为66.6%与33.3%,则可推测建模样本婉拒比例稍高,需要利用母体比例来加权调整,因此可调整婉拒件的比重为(66.6%/33.3%)/(70%/30%)=0.8574。

八、模糊法 (Fuzzy)

此法不是指派样本为好/坏件,而是将每个婉拒件样本拆为部分的坏件与好件。Fuzzy法步骤如下:

1、用已知核准件样本的模型来对婉拒件评分并估计违约机率。

2、依估计的违约率对每一个婉拒件算出p (Good) 及p (Bad)。 

3、将被婉拒件样本区分为好件及坏件两样本。将坏件加权上估计的违约机率,好件则加权上非违约件的机率。

4、将婉拒件与核准件的样本结合,重新建置评分卡模型。

九、迭代再分类法 (Iterative Reclassification)

此法类似Hard Cutoff,但此方法是重复分群一直到某一临界值为止。此方法步骤如下:

1、根据核准案件建立评分卡;

2、利用现有的模型对婉拒客户加以评分。评分后利用每个区间的好坏比做婉拒客户的好坏比,并随机给定好件或坏件;

3、给定后合并核准件,重新建立模型,直到指定的统计量收敛为止,比方说可用ln (odds) vs. score的散布图,或用模型的参数达一定的收敛区间等;

4、若用好坏比与模型的图标法,需要注意所有的线都要在已知的好坏比线下,否则会有婉拒客户比核准客户质量好的疑虑。

 

第八章   最终模型选择与风险校准 (Calibration) 

 

根据特征变量分析以及二阶段回归模型等方式所衍生出来之模型回归式,是评分卡及违约机率 (Probability of default;PD) 模型最重要的架构,从此架构可以分别发展出:

1. 申请或行为评分卡

2. 用于资本计提的PD模型

技术分享

技术分享

 

1最终模型产出

 

  • 最终模型产出为一回归式,其模型在评分卡的运用上较不易解释,故必须将变量转换为分数以利于业务上的运用;

  • 变量的转换可选择利用虚拟变量 (dummy variable) 或WOE值来取代,其中虚拟变量可单纯地将各变量群组乘以1,000来表达各变数群组的权重;而WOE值则需套用较复杂的转换。

运用评分卡尺度技术将评分卡系数转换为便于解读的权重之方式:

1.  (Good/Bad) 的比值:

平均分数为200 分,每隔20分胜算比 (Odds) 加倍,Odds指的是好坏件 (Good/Bad) 的比值,也就是每隔20 分,好件与坏件的比例会加倍,因此,我们可以根据此分数区间规划合理的风险区,以进行差异化管理。

2. 分数尺度:

(1)基本上我们建置的评分卡规则为可加成之规则,因此,调整后的分数根据以上的假设必须为单纯之线性方程式:Score=A+B×ln (odds) (式1)

由于假设平均分數200分,每格20分Odds加倍,因此,我们可以将此假设代入式1,得到以下方程式:Score+PDO=A+B×ln (2odds) (式2)

(其中PDO为Point of Double Odds,表示每隔多少分Odds加倍)将式2减式1,Score 互相抵消,可以得到以下方程序:

PDO=B×ln (2odds)-B×ln (odds)=B×ln(2) (式3.1)

B=PDO/ln(2) (式3.2)

此时就可以根据PDO之假设计算B值,同时将B值带入方程式,即可计算A值:A=Score-B×ln (odds) (式4)

(其中Score为平均分數,Odds则以建置模型时的平均水平带入)

技术分享

(2) 根据罗吉斯回归方程式,Odds等于各变量的 以及回归方程式系数与常数项之组合,根据方程式计算,可以得到以下分数尺度公式: Score=A+B×ln (odds)

技术分享

其中,为该变量值在分群中的WOE值,n为模型回归式里的变数数量。

由上述方式则可产出最终模型如表:

技术分享

此方式目的如下:

1. 便于建置过程中各个版本评分卡互相比较。

2. 便于使用者解读。

3. 便于监理机关信息揭露同时与违约机率整合。

 

2设定风险校准 (Risk Calibration)

 

不同评分卡的分数调校

  • 若同一产品因应不同特性切分为数个评分卡,如信用卡评分卡切为全清户评分卡与循环户评分卡,如此一来,两张评分卡的模型基础可能站在不同水平上,因此必须设定风险校准 (Risk Calibration) 来转换各分群的评分;

  • 在好坏表现定义于不同分群间相同的前提下,风险校准则是采用同等好坏比来转换各分群评分分数,使得相同好坏比达到相同评分结果,且评分与好坏比应呈现正向相关。

评分模型风险校准过程如下:

1、计算出各分群所有样本之最终模型评分。

2、各分群样本分数由低至高排序。

3、将排序后之样本切成n等分,可能是20等分、30等分及50等分等,再计算每一等分的好件数、坏件数、好坏比、Ln(Odds) 及平均分数。

4、建立每种切等之平均分数及Ln(Odds) 间的回归式,观察在哪种切等方式下,回归式会有最佳的解释能力,亦即有最高的R-Square,并观察期望好坏比值 vs.实际好坏比值是否相近。

5、由上述回归式套入Score=A+B×Ln(Odds),则可得到最后之校准函数,如Base Score为400,PDO为40,则 Final Score=400+40/ln (2)×ln(Odds)

其中对数好坏比值【ln(Odds)】则是由平均分数及对数好坏比值间所建立之最佳回归式带入即可,其可利用各种统计软件包求得其最适模型。

6、以校准分数为应变量,最终评分模型之变量为自变量进行回归分析,可得到最后各变量属性之系数,此即为风险校准后评分卡 (Calibrated Scorecard) 的分数。日后评分卡变量使用及定期监控皆以Calibrated Scorecard为主。

以表8-2及表8-3为例,可以得到分群30之解释能力最佳 (R2为0.993最高),则其校准函数则如下所列:最后分数=400+40/ln (2)×(-190.7+0.002 -0.25 +0.01 )

技术分享

 

3风险等级的区隔

 

为利于实务上的应用,应针对评分卡分数进行风险区隔,一般以不超过20等份为主,常用之切分方式有:

(一)好坏比法:

将风险级距相近的切成同一等级,主要是将相同风险等级的族群分层管理,其往上的差距约为双倍好坏比 (double odds)。

(二)母体均分法:

每个风险等级分配的人数相近,且每个级距的建模样本应有一定以上的数量。样本数太少的等级可与其他相邻等级合并,一般而言,这会发生在低分群与高分群的等级中。每一个切分完成的风险等级,其内含样本数至少要有全体建模样本的3%至5%,才是足够的样本数量。

 

3风险等级的区隔范例

 

技术分享

 

4模型验证

 

在信用评分卡建置过程中,为了能够有效评估信用评分卡之预测能力以及诊断是否需要进一步修正,必须透过以下模型验证来检视评分卡成效。

  • 吉尼 (Gini) 系数

  • Kolmogrov-Smirnov值 (以下简称K-S值)

  • ROC曲线上的面积 (Area Under ROC Curve;AUC)

     

一、吉尼 (Gini) 系数:

技术分享

上图中向下弯曲曲线即称为Lorenz’s Curve是用来评估评分卡鉴别效果的标准图表,其横轴是根据分数由高至低,累计的正常客户占总正常客户的比例,而纵轴则是分数由高至低,累计的违约客户占总违约客户的比例。

由于分数高者为低风险客户,因此累积违约比例的成长速度会低于累积正常客户,因此,Lorenz’s Curve会呈现向下弯曲的曲线,在Lorenz’s Curve图中,向右下突出的半月型面积除以45度线下方三角型面积的比值,称为吉尼系数 (Gini Coefficient)。

此项系数愈大,鉴别力愈高;反之,系数愈小,表示鉴别力愈低。而45度线的含意则代表模型不具区别能力(即为随机模型)。

 

二、Kolmogrov-Smirnov值 (K-S值):

技术分享

ROC曲线即是以在所有可能的截断点下,所计算出来对评分模型的误授率(型一误差率,误授率表示模型将违约客户误评为好客户,进行授信业务的比率)和1-误拒率 (型二误差率,误拒率表示模型将正常客户误评为坏客户,拒绝其授信业务的比率) 的数量,所绘制而成。

AUC值为曲线下方之总面积。

 

三、ROC曲线上的面积 (Area Under ROC Curve;AUC)

技术分享

K-S Test图则是用来评估在评分卡何种评分区间能够将正常客户与违约客户分开,K-S值愈高,则代表两者距离愈大;因此,K-S曲线出现的最大值之处就是鉴别正常户与违约户的最佳点。

 

模型区别力判断指标

技术分享

模型验证除对发展组样本 (Development Sample) 做鉴别力检定外,亦需针对测试组 (Holdout Sample) 及样本外 (Out sample) 做验证。.

其中测试组,顾名思义是验证样本同时亦为建模样本的一部分,随机抽取建模样本的一部分,做为样本内验证的验证样本。

样本外的验证,是来自非建模样本的验证数据,依取样时期又可分为样本外 (Out of sample) 验证样本,以及样本时间外 (Out of time) 验证样本。样本外验证样本为取样时点与建模样本为同样取样时点的验证样本,而样本时间外验证样本则为取样时点不包含有与建模样本相同取样时点的验证样本。

 

训练组及测试组 (Development & Hold-Out Sample) 验证 

训练组占建模样本的70%,测试组占建模样本之30%,以下表为例,训练组及测试组皆通过Gini值及K-S值的鉴定,具有良好之好坏区辨能力。

 

技术分享

 

时间样本外 (Out-of-Time Sample) 的验证

此为确保模型不会因为外在因素而无法适应,也为确保模型不受时间的干扰。此资料集与原始的数据集仅时间点不同,其他的数据字段与定义仍与原来的数据相同。

技术分享

Gini值及K-S值稍有下降,但皆在良好之好坏区辨能力范围内,表示此模型不受时间因素干扰,模型仍可维持其原有的鉴别力。

针对风险等级区分结果进行验证,分别针对训练组、测试组及样本外数据进行模型鉴别力验证,以确保此等级区分方式是有鉴别力的。

技术分享

如上图所示,此分级下Gini值及K-S值表现都是十分良好的。

 

本专题还将继续推出,敬请关注!

下期章节:

第九章  决策点 (Cut-off) 设定

第十章  信用评等模型监控报告

第十一章  信用评等模型策略运用

第十二章  信用评等模型案例

文章来自:http://www.cnblogs.com/stevendes/p/6052996.html
© 2021 jiaocheng.bubufx.com  联系我们
ICP备案:鲁ICP备09046678号-3